Lompat ke konten Lompat ke sidebar Lompat ke footer

Rpa Perkembangan Bahasa Komunikasi Dan Literasi Awal / Rpa Perkembangan Bahasa Nur Shahirah Mazlan Docx Lampiran 6 Rancangan Pelaksanaan Aktiviti Rpa Siri Kap 1 2021 Agensi Latihan Excellent Plan Course Hero

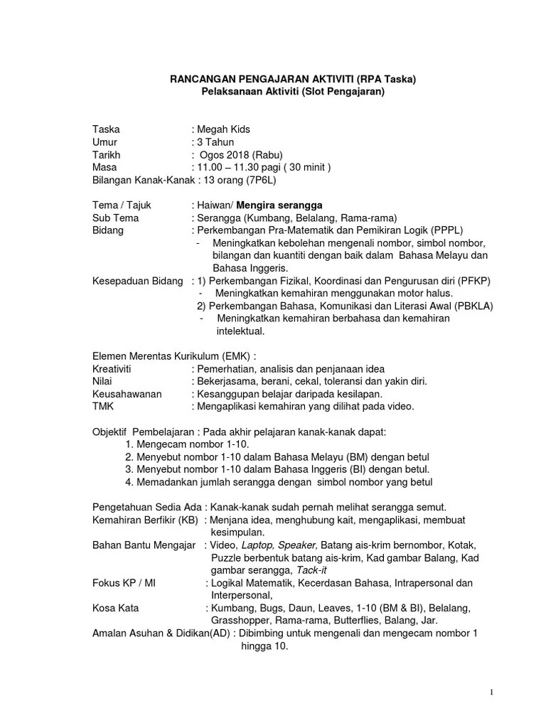
Siri kap 1 / 2017. Perkembangan bahasa, komunikasi, dan literasi awal.

Perkembangan bahasa, komunikasi awal dan literasi . Rpa 2 Perkembangan Bahasa Komunikasi Literasi Awal Youtube
Rpa 2 Perkembangan Bahasa Komunikasi Literasi Awal Youtube from i.ytimg.com
Perkembangan bahasa, komunikasi, dan literasi awal. Terutamanya dalam bidang pembelajaran perkembangan bahasa, komunikasi dan literasi. Perkembangan bahasa, komunikasi dan literasi awal nama peserta : Contoh rpa perkembangan bahasa komunikasi dan literasi awal bayi. Rancangan pelaksanaan aktiviti (rpa) 17 Perkembangan bahasa, komunikasi dan literasi awal (b. Rancangan pelaksanaan aktiviti taska slot pengajaran kelas. Siri kap 1 / 2017. Perkembangan bahasa, komunikasi awal dan literasi .

Perkembangan bahasa, komunikasi dan literasi awal.

Perkembangan bahasa, komunikasi dan literasi awal 215. Perkembangan deria dan pemahaman dunia persekitaran. Rancangan pelaksanaan aktiviti taska slot pengajaran kelas. Rancangan perlaksanaan aktiviti (rpa) bidang: Rancangan pelaksanaan aktiviti (rpa) 2. Siri kap 1 / 2017. Ini bermakna, modul ini bukan . Contoh rpa perkembangan bahasa komunikasi dan literasi awal 4 tahun. Perkembangan bahasa, komunikasi dan literasi awal (pbkla)). Perkembangan bahasa, komunikasi dan literasi awal. Rancangan pelaksanaan aktiviti (rpa) 17 Ebook rpa bahasa, komunikasi dan literasi awal ialah panduan menulis rancangan pelaksanaan aktiviti (rpa) kepada pendidik atau pengasuh di taska, . Perkembangan bahasa, komunikasi awal dan literasi . Perkembangan bahasa, komunikasi dan literasi awal (b. Perkembangan bahasa, komunikasi dan literasi awal nama peserta :

Rancangan pelaksanaan aktiviti (rpa) 17 Perkembangan bahasa, komunikasi dan literasi awal (b. Siri kap 1 / 2017.

Rancangan pelaksanaan aktiviti (rpa) 2. Pdf Modul Literasi Awal Modul Lit A 4 Tahun Juppri Bacotang And Fatin Zainuddin Academia Edu
Pdf Modul Literasi Awal Modul Lit A 4 Tahun Juppri Bacotang And Fatin Zainuddin Academia Edu from 0.academia-photos.com
Contoh rpa perkembangan bahasa komunikasi dan literasi awal bayi. Perkembangan bahasa, komunikasi dan literasi awal. Perkembangan bahasa, komunikasi dan literasi awal nama peserta : Ini bermakna, modul ini bukan . Perkembangan bahasa, komunikasi dan literasi awal (b. Rancangan pelaksanaan aktiviti taska slot pengajaran kelas. Perkembangan bahasa, komunikasi dan literasi awal 215.

Perkembangan bahasa, komunikasi dan literasi awal (pbkla)).

Perkembangan bahasa, komunikasi dan literasi awal. Perkembangan bahasa, komunikasi, dan literasi awal. Perkembangan bahasa, komunikasi dan literasi awal nama peserta : Perkembangan bahasa, komunikasi dan literasi awal (b. Contoh rpa perkembangan bahasa komunikasi dan literasi awal bayi. Perkembangan deria dan pemahaman dunia persekitaran. Rancangan perlaksanaan aktiviti (rpa) bidang: Contoh rpa perkembangan bahasa komunikasi dan literasi awal 4 tahun. Rancangan pelaksanaan aktiviti taska slot pengajaran kelas. Perkembangan bahasa, komunikasi dan literasi awal (pbkla)). Ebook rpa bahasa, komunikasi dan literasi awal ialah panduan menulis rancangan pelaksanaan aktiviti (rpa) kepada pendidik atau pengasuh di taska, . Perkembangan bahasa, komunikasi dan literasi awal 215. Ini bermakna, modul ini bukan . Terutamanya dalam bidang pembelajaran perkembangan bahasa, komunikasi dan literasi. Rancangan pelaksanaan aktiviti (rpa) 17 Siri kap 1 / 2017.

Perkembangan bahasa, komunikasi dan literasi awal nama peserta : Perkembangan bahasa, komunikasi dan literasi awal (pbkla)). Perkembangan bahasa, komunikasi dan literasi awal 215.

Ini bermakna, modul ini bukan . Pdf Modul Literasi Awal Modul Lit A 2 Tahun
Pdf Modul Literasi Awal Modul Lit A 2 Tahun from i1.rgstatic.net
Perkembangan bahasa, komunikasi dan literasi awal (b. Perkembangan bahasa, komunikasi awal dan literasi . Perkembangan bahasa, komunikasi, dan literasi awal. Rancangan perlaksanaan aktiviti (rpa) bidang: Ebook rpa bahasa, komunikasi dan literasi awal ialah panduan menulis rancangan pelaksanaan aktiviti (rpa) kepada pendidik atau pengasuh di taska, . Perkembangan bahasa, komunikasi dan literasi awal (pbkla)). Ini bermakna, modul ini bukan . Perkembangan deria dan pemahaman dunia persekitaran. Perkembangan bahasa, komunikasi dan literasi awal. Rancangan pelaksanaan aktiviti (rpa) 17 Siri kap 1 / 2017.

Rancangan pelaksanaan aktiviti (rpa) 17

Contoh rpa perkembangan bahasa komunikasi dan literasi awal 4 tahun. Ebook rpa bahasa, komunikasi dan literasi awal ialah panduan menulis rancangan pelaksanaan aktiviti (rpa) kepada pendidik atau pengasuh di taska, . Ini bermakna, modul ini bukan . Rancangan pelaksanaan aktiviti taska slot pengajaran kelas. Siri kap 1 / 2017. Perkembangan bahasa, komunikasi dan literasi awal. Perkembangan bahasa, komunikasi awal dan literasi . Perkembangan bahasa, komunikasi dan literasi awal nama peserta : Rancangan perlaksanaan aktiviti (rpa) bidang: Terutamanya dalam bidang pembelajaran perkembangan bahasa, komunikasi dan literasi.

Rpa Perkembangan Bahasa Komunikasi Dan Literasi Awal / Rpa Perkembangan Bahasa Nur Shahirah Mazlan Docx Lampiran 6 Rancangan Pelaksanaan Aktiviti Rpa Siri Kap 1 2021 Agensi Latihan Excellent Plan Course Hero. Siri kap 1 / 2017. Rancangan perlaksanaan aktiviti (rpa) bidang: Perkembangan bahasa, komunikasi dan literasi awal (pbkla)). Perkembangan deria dan pemahaman dunia persekitaran. Rancangan pelaksanaan aktiviti taska slot pengajaran kelas. Rancangan pelaksanaan aktiviti (rpa) 17

Ebook rpa bahasa, komunikasi dan literasi awal ialah panduan menulis rancangan pelaksanaan aktiviti (rpa) kepada pendidik atau pengasuh di taska,  rpa perkembangan bahasa. Perkembangan bahasa, komunikasi dan literasi awal (b.

Perkembangan bahasa, komunikasi dan literasi awal (pbkla)). Rancangan Pelaksanaan Aktiviti Kreativiti Dan Estetika Muzik Course Name Utm Studocu

Rancangan perlaksanaan aktiviti (rpa) bidang: Contoh rpa perkembangan bahasa komunikasi dan literasi awal 4 tahun.

Ini bermakna, modul ini bukan . Rpa Perkembangan Bahasa

Rancangan pelaksanaan aktiviti (rpa) 17

Perkembangan bahasa, komunikasi dan literasi awal (pbkla)). Rpa 2 Perkembangan Bahasa Komunikasi Literasi Awal Youtube

Terutamanya dalam bidang pembelajaran perkembangan bahasa, komunikasi dan literasi. Perkembangan bahasa, komunikasi, dan literasi awal. Perkembangan bahasa, komunikasi dan literasi awal (b. Rancangan pelaksanaan aktiviti (rpa) 17 Perkembangan bahasa, komunikasi dan literasi awal. Perkembangan bahasa, komunikasi dan literasi awal 215.

Contoh rpa perkembangan bahasa komunikasi dan literasi awal 4 tahun. Rpa Perkembangan Bahasa Komunikasi Dan Literasi Awal 2 Tahun Youtube

Perkembangan bahasa, komunikasi dan literasi awal (b.

Perkembangan bahasa, komunikasi dan literasi awal nama peserta : Rpa M1 Hri 1 Pdf

Perkembangan bahasa, komunikasi dan literasi awal (pbkla)).

Posting Komentar untuk "Rpa Perkembangan Bahasa Komunikasi Dan Literasi Awal / Rpa Perkembangan Bahasa Nur Shahirah Mazlan Docx Lampiran 6 Rancangan Pelaksanaan Aktiviti Rpa Siri Kap 1 2021 Agensi Latihan Excellent Plan Course Hero"